Ocean Protocol Bundle - Earth as a System
Ocean Protocol Bundle
More than two-thirds of the Earth’s surface, about 70.9%, is covered by oceans. These enormous bodies of water are a vast source of food and raw materials for living creatures, as well as an important utility for recreation, transportation, and other functions central to our well-being. For example, 43% of the benefits provided to us by the biosphere originates in ocean ecosystems.
Additionally, many of these benefits support communities in coastal areas of which about one-third of the world's population lives. Because of this heavy dependence on the marine environment, it's critical to expand our knowledge about the oceans and coastal ecosystems to better design and implement measures for their protection.

Oceans & the Environment
Oceans are complex ecosystems that are influenced by many interrelated physical parameters as well as mechanisms and processes that occur between the land, coastal zones, atmosphere, and the oceans themselves. To appropriately study this interdependent environment, scientists, students, and teachers must employ a variety of scientific measurement methods that will both engage future researchers in the scientific method and facilitate a better understanding about the oceanic ecosystem.
Inside the Ocean Bundle, you can find a collection of protocols, prompts, and projects related to these issues and their intersections with various Earth Spheres.
Bundle Overview
- Atmosphere
- Aerosols
- The number of aerosols present in the air may vary near the ocean's surface due to salt particles from evaporated sea spray.
- Air Temperature
- Water can modify the temperature in the air above and around itself. For oceans, this can exert a substantial influence on the types of life or land that exist in coastal environments.
- Barometric Pressure
- High or low pressure systems have a significant influence on wind patterns over the ocean surface. This can lead to increased evaporation which directly affects the weather in local areas.
- Clouds
- Cloud type and cover can be influenced by their proximity to the oceans due to increased levels of evaporation. For example, it's common to observe bigger clouds with greater coverage over the sea than far from it.
- Precipitation
- A locale's precipitation levels are driven by the evaporation rate and how the vapor mass is moved by the wind. The amount of precipitation that falls on the ocean and surrounding areas can affect the water's salinity and chemical makeup.
- Relative Humidity
- Relative humidity increases with water evaporation, thus making coastal regions generally more humid than areas further inland. These humidity levels help determine what types of wildlife can live in any particular area.
- Aerosols
- Biosphere
- Land Cover
- Coastlines are typically shaped by the impacts of ocean waves and prevailing winds. Over time, both of these these factors influence the habitat of intertidal species and where we choose to build human infrastructure.
- Land Cover
- Hydrosphere
- Dissolved Oxygen
- Dissolved oxygen (DO) is an important variable for determining the success of sea life. DO levels greater than 6ppm are typically beneficial to aquatic organisms while levels below 3ppm are considered stressful for life. The solubility of oxygen within water is determined by water temperature, atmospheric pressure, and salinity.
- Nitrates
- Nitrogen is found in many chemical forms within the ocean and can be transformed by biological and physical processes. Nitrate (NO3-) is usually the most important inorganic form of nitrogen because it's an essential nutrient for many algae and other aquatic plants, while Nitrite (NO2-) is usually found only in areas with low DO levels—called anoxic waters.
- Salinity
- Many marine species need a specific concentration of salt in the water to survive. Salinity also affects the solubility of oxygen within water and has significant impacts on the depth of the ocean's thermocline.
- Water Temperature
- Almost all properties of water—including the chemical reactions taking place within it—are affected by temperature. For example, water temperature influences the amount and diversity of aquatic life as well as its electrical conductivity and DO content. On a broader scale, the higher heat capacity of water relative to air means the ocean takes longer to heat up than the atmosphere, creating a thermoregulatory effect on the surrounding environment.
- Almost all properties of water—including the chemical reactions taking place within it—are affected by temperature. For example, water temperature influences the amount and diversity of aquatic life as well as its electrical conductivity and DO content. On a broader scale, the higher heat capacity of water relative to air means the ocean takes longer to heat up than the atmosphere, creating a thermoregulatory effect on the surrounding environment.
- Water Transparency
- Suspended particles in the ocean have significant impacts on the transparency of the water. These particles can be organic or inorganic and can comprise of vital nutrients that can lead to algal blooms. These blooms further reduce the transparency of the ocean and can contaminate onshore drinking water.
- Dissolved Oxygen
- Pedosphere (Soil)
- Soil pH
- The pH of sediments washed into the ocean can affect the acidity or alkalinity of the water, influencing marine and coastal life.
- Soil Temperature
- The temperature of marine sediments can have important impacts on the DO content in local waters as well as create microhabitats for certain marine species.
- Soil pH
Two thirds of Earth’s surface (70.9%) is covered by oceans, and they are a vast source of food and raw materials, recreation, transportation, and other functions of importance for human well-being (Halpern et al. 2012). For example, 43% of services provided by the biosphere come from ocean ecosystems (Levrel et al. 2014), and one third of the world's population lives in coastal areas (Rao et al. 2015).
Oceans also host one of the world's most unique ecosystems, coral reefs. As temperatures rise due to climate change, mass coral bleaching events and infectious disease outbreaks are becoming more frequent (NOAA, 2018). Human activities both on land and sea dramatically alter the way ecosystems function, as well as the goods and services the marine and coral reef ecosystems provide to people around the globe. Oceans also face significant problems due to overfishing as well as marine- and land-based pollution. This pollution degrades marine ecosystems and exacerbates quality of life deterioration for coastal communities (Selkoe et al 2008).
Through further study of the marine ecosystem, we can better understand the full impact of these issues and the best approach to rectifying them. A few key areas in the field of current marine sciences include: changes in the number and distribution of marine species, prevailing hydrodynamic conditions, marine environment change impacts, fisheries and oil exploration, litter, eutrophication and light impacts (Hyder et al., 2015).
Because of the dangers Oceans face, it is critically important to increase our knowledge about oceans and coastal ecosystems as well as to design and implement measures for their protection. By measuring and submitting data using GLOBE's Protocols, you're playing an important role in helping us uncover the mysteries of the marine environment. Additionally, your data can be an important input for ocean management and resources conservation organizations working to safeguard marine wildlife and resources for future generations.
Student Questions
If you want to conduct a study at your local beach or coastal environment as a GLOBE student, it is useful to create research questions before you start measuring and collecting data. A few examples of these questions include:
- Does the surface temperature change in relation to the distance from shore?
- What are the most common cloud types close to the ocean? How do they change with the seasons?
- What are the most important water quality variables along the seashore?
- What are the most important water quality variables required for the fish and invertebrate distribution?
- What is the land cover close to the coastline and how the land cover is affected by the ocean?
- What is the relation between temperature and dissolved oxygen in the ocean?
- What is the relation between turbidity and algae biomass?
- Do beach tourist activities affect the water quality?
To get an idea on how all these different variables are incorporated into the Ocean Bundle, check out the following case study trying to answer the question:
What are the environmental factors that affect benthic communities in the restoration mangrove?
Note: This case study was taken from the GLOBE IVSS project Influence of environmental factors on marine benthic communities in a man-made mangrove in Pak Nakhon, Thailand by students Pongphak Kanwinphruet and Apisara Santadkarn, teachers Ms.Rawiwan Chinnawong and Mrs. Kanokrat Singnui from Princess Chulabhorn Science High School Nakhon Si Tammarat.
Abstract
This study investigated environmental factors affecting the diversity of Marine benthic communities in man-made mangrove forest at Pak Nakhon, Thailand. The objectives were to study the species and numbers of Marine benthic animals in the study site and also to examine the relationship between environmental factors and numbers of Marine benthic animals. The samplings were collected from mangrove area that was divided into three zones according to the distance from the Pak Nakhon estuary. The parameters measured where benthos number and composition, air temperature, humidity, soil pH, moisture and temperature reflecting three GLOBE protocols namely biosphere, atmosphere and pedosphere. Results showed that among several environmental factors, soil temperature and moisture affect the number of benthos.
Keywords: Environmental factors, Relationship, Benthic community
Introduction
In general mangrove forest in the coastal area of Thailand has decreased since 1961. We found from the reports that due to the rehabilitation efforts, mangrove vegetation in Nakhon Si Thammarat province has improved substantially (Figure 1). The mangrove forests in Nakhon Si Tammarat are natural ones as restored by human management. Mangroves are the most important sources providing fish, shrimp, etc for human consumption. Taken that marine benthic animals are sensitive or tolerant to changing environmental conditions, they are considered biological indicators for any change in environmental condition.

Figure 1. Show the mangrove of the gulf of Thailand.
Research question: What are the environmental factors that affect benthic communities in the restoration mangrove?
Hypothesis: Most environmental factors may strongly influence the benthic population and diversity
Materials and methods
Study site
The study site was located at Paknakhon mangrove forest, Nakhon Si Thammarat, southern Thailand. Lattitude 8.482100 N, Longtitude 100.057800 E (Figure 2).

GLOBE protocols used: Biosphere, Atmosphere and Pedosphere
Parameters measured
-Atmospheric temperature and humidity
-Soil pH, moisture and temperature
-Marine benthos (number and composition)
Data Collection
We collected sample from the study site which was divided into three zones according to the distance from the Pak Nakhon estuary. Five samples were collected in each zone (Figure 2). The parameters measured, with the use of GLOBE protocols, were marine benthic population, air temperature, relative humidity, soil pH, moisture and temperature, at each zone.
Results
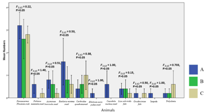
The mean number of different species of Marine benthos is presented in Figure 3 for the three zones under investigation. The relationship between soil (pH, moisture, temperature), Relative humidity, and air temperature and the benthic population are presented in Table 1.

Figure 3 Show Mean (±SE) number of different species of benthos in 3 areas.
Table 1 Relationship between environmental factors and benthos.
|
Benthos number and Temperature |
Benthos number and Soil temperature |
Benthos number and Soil pH |
Benthos number and Relative humidly |
Benthos number and Soil moisture |
|
R = - 0.198 |
R = 0.611 |
R = -0.147 |
R = -0.56 |
R = 0.505 |
|
P = 0.478 |
P = 0.015 |
P = 0.601 |
P = 0.842 |
P = 0.048 |
|
N = 15 |
N = 15 |
N = 15 |
N = 15 |
N = 15 |
Discussion
Results on the biodiversity of benthic communities at the mangrove sites, showed that the numbers of benthos are dependent on soil temperature and soil moisture. Benthos and soil moisture are positively correlated (P<0.05), whereas benthos and soil temperature are negative correlated (P<0.05). The presence and distribution of Marine benthic species depends on the tolerance to the habitat (Suzuki et al., 2002).
Conclusion
Among several environmental factors soil temperature and moisture affect the numbers of benthos.
References
Suzuki T., M. Nishihira and N. Paphavasit. 2002. Size structure and distribution of Ovassiminea brevicula (Gastropoda) in a Thai mangrove swamp. Wetlands Ecol. Manage. 10 (3): 265–271.
Oceans affect our lifestyle and in turn, our lifestyle affects the state of the oceanic environment. This is an important reason to increase our ocean literacy by means of hands-on experiments that provide the opportunity to acquire new knowledge about our local environment. GLOBE offers many opportunities to promote further oceanic research through projects such as these, because your research questions are an important guide towards a better understanding about what's happening with our global marine ecosystems.
References
NOAA. 2018- NOAA. National Center for Environmental Information. (Last accessed September 2018) available at https://www.nodc.noaa.gov/.
Halpern, B.S., Longo, C., Hardy, D., McLeod, K.L., Samhouri, J.F., Katona, S.K., Kleisner, K., Lester, S.E., O’Leary, J., Ranelletti, M., Rosenberg, A.A., Scarborough, C., Selig, E.R., Best, B.D., Brumbaugh, D.R., Chapin, F.S., Crowder, L.B., Daly, K.L., Doney, S.C., Elfes, C., Fogarty, M.J., Gaines, S.D., Jacobsen, K.I., Karrer, L.B., Leslie, H.M., Neeley, E., Pauly, D., Polasky, S., Ris, B., St Martin, K., Stone, G.S., Sumaila, U.R., Dirk, Z., 2012. An index to assess the health and benefits of the global ocean. Nature 488, 615–620. https://doi.org/10.1038/nature11397.
Hansen, J. 2004. Defusing the Global Warming TIME BOMB. Scientific American 290, 68- 77.
Hyder, K., Townhill, B., Anderson, L.G, Delany, J., Pinnegar, J.k. Can citizen science contribute to the evidence-base that underpins marine policy? Marine Policy59(2015)112–120. http://dx.doi.org/10.1016/j.marpol.2015.04.022.
Kum, L. R. The Last Great Global Warming (2011) Scientific American 305, 56 – 61.
Levrel, H., Cabral, P., Marcone, O., Mongruel, R., 2014. The services provided by marine ecosystems. In: Monaco, A., Prouzet, P. (Eds.), Value and Economy of Marine Resources. John Wiley & Sons Inc, USA, pp. 1–51.
Rao, N.S., Ghermandi, A., Portela, R., Wang, X., 2015. Global values of coastal ecosystem services: a spatial economic analysis of shoreline protection values. Ecosyst. Serv. 11, 95–105. https://doi.org/10.1016/j.ecoser.2014.11.011.
Selkoe, K., Kappel, C., Micheli,F., D'Agrosa, C., Bruno, J., F., Casey, S., K., Ebert, C. 2008. A Global Map of Human Impact on Marine Ecosystems Science Vol. 319 (5865) 948-952.
